LSTM
PS:不看不知道,原来RNNs和LSTM都是上个世纪诞生的产物,惊人啊!
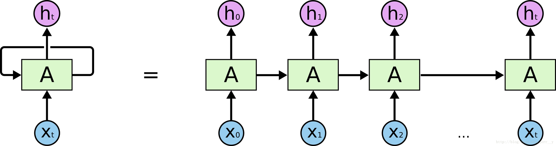
问题1:传统RNNs的问题?
传统RNNs模型一定程度上可以建立时间序列上的数据关系;但是,其面对较长的依赖关系,就很难处理了,因为会有梯度消失问题呀!
Hochreiter (1991) [German] 和 Bengio, et al. (1994) 曾经对这个问题进行过深入的研究,发现 RNNs 的确很难解决这个问题。
我嘞个亲娘啊,30年前~~惊叹了。

问题2:LSTM的模型结构?
LSTM由Hochreiter & Schmidhuber (1997)提出,许多研究者进行了一系列的工作对其改进并使之发扬光大。
LSTM的关键是元胞状态(Cell State),下图中横穿整个元胞顶部的水平线。
Cell State有点像是传送带,它直接穿过整个链,同时只有一些较小的线性交互。上面承载的信息可以很容易地流过而不改变。

然后,在整个Cell的内部,通过门的结构来控制Cell对Cell State的信息添加或删除:
Forget Gate(遗忘门)
理解:选择性的对上一状态的信息进行遗忘。
例如:元胞状态可能包含当前主语的性别信息,以用来选择正确的物主代词。当我们遇到一个新的主语时,我们就需要把旧的性别信息遗忘掉。
Input Gate(传入门)
理解:决定让多少新的信息加入到Cell状态中来。实现这个需要包括两个步骤:首先,Input Gate决定哪些信息需要更新;然后tanh生成一个向量,也就是备选的用来更新的内容。
Update Cell State
理解:就是融上一步的部分记忆,并更新这一步的新信息进来
Output Gate(输出门)
理解:根据当前的输入xt和前step的输出ht-1,来计算得到当前要输出多少内容(可理解为权重);然后,将得到的权重作用于激活后的当前Cell State,得到当前Cell的输出。
问题3:为什么LSTM可以轻松处理长时依赖?
主要是LSTM的Cell State的的核心思路起的作用。
在LSTM中,有两个通道在保持记忆:
短期记忆h,保持非线性操作,通过门结构实现;
长期记忆C,保持线性操作,通过Cell State实现。
因为线性操作是比较稳定的,那么C的变化也就是相对稳定,因此,LSTM可以很好保持长期记忆。
问题4:LSTM该不该使用Relu激活?
答:可以,但需要付出额外考虑梯度爆炸时的梯度裁剪。
激活函数的作用其实是在为神经网络增加非线性,tanh是LSTM的默认激活函数。
在RNN的层数较深的时候,这时为了避免产生梯度消失的风险,可以考虑使用Relu替换LSTM的激活函数,但是ReLUs在RNNs中,可能会出现另外一个问题:
因为RNNs的Cell在时间序列上是参数共享的,且ReLUs的导数要么为0要么为1,那么在BP过程,从某种程度上,可以近似看成权重矩阵的连乘(当然有的会被抑制掉),这就会很大风险出现可怕的梯度爆炸的问题。
也就是当替换tanh为ReLUs时候要考虑的问题:gradient clip(梯度裁剪)。
补充问题4.+:如何在Keras下做梯度裁剪呢?
在keras所有的优化器中,直接设置clipvalue
参数或者是clipnorm
参数,如下图:

问题5:LSTM的门可否用Relu激活?
答:显然不能!!!
首先我们要明白LSTM中的门的在实际工作中的意义是在做选择(可以类比考虑一下逻辑电路的思想):例如选择遗忘多少,选择记忆多少,选择更新多少。
根据这种实际的数学意义,显然是:
我们是必须要使用值域为[0,1]的饱和激活函数来实现门的选择功能,同时,又可以很好的兼顾满足非线性的激活需要。
参考资料
[1].Understanding LSTM Networks
[2].(译)理解 LSTM 网络
[3].Keras中文文档
[4].RNN 中为什么要采用 tanh,而不是 ReLU 作为激活函数?
[5]. LSTM question
[6].LSTM该不该使用RELU?
[7].在训练LSTM的时候使用除了Tanh/Sigmoid以外的激活函数效果都很差,是为什么?
[8].Keras中的LSTM(主要用于参考Coding用)
[9].理解LSTM在keras API中参数return_sequences和return_state(主要用于参考Coding用)
最后更新于
这有帮助吗?